【摘要】环球网校一级建造师频道,为方便各位一级建造师考生更好的备考一级建造师考试,特别整理一级建造师考试模仿试题,并附解析与参考答案,本文为大家预备的是2015年一建《公路》考点与习题:施工机械设备的运用管理,希望各位一级建造师考生经过模仿试题的方式掌握考点。
    最新引荐: 一级建造师?精彩授课视频收费学习

    课程引荐:

2014年一级建造师考试曾经完毕,2015年新一轮的备战又该开端了,假如您的任务忙碌,工夫缺乏假如您非专业出身,根底单薄假如您对一建不甚理解,不知如何温习那么就请参加我们的备考队伍吧!我们有业内顶级名师,为学员量身打造了多种教学辅导体系,您可以依据本身状况停止选择!备战2015年一建,如今走起>>
1B420170 施工机械设备的运用管理
1.重点关注公路工程施工机械的功能、消费才能及适用条件。
2.机械设备才能的有关计算。
3.施工机械的选择应与工程的详细实践相顺应,所选机械是在详细的、特定的环境条件下作业,这些环境条件包括天文气候条件、作业现场条件、作业对象的土质条件等。合理选择施工机械的根据是:工程量、施工进度方案、施工质量要求、施工条件、现无机械的技术情况和新机械的供给状况等。施工机械的任务参数应留意机械的任务容量、消费率、机械的尺寸、机械的质量、自行式施工机械的挪动速度、动力安装类型和功率等。
4.工程机械的平安消费应作为平安施工的重要组成局部一致管理,机械、消费部门应设立专职机构和人员,来担任机械平安消费的管理。
一、单项选择题
1.相比拟而言,适用于100m以内的短间隔运土的设备是( )。
A.拖式铲运机 B.自行式铲运机
C.装载机、翻斗车 D.推土机
2.土方工程施工中,最适用于运土间隔为100~300m的机械是( )。
A.大型推土机(118~近一年来,国家加大了对于互联网金融的管理力度,各种管理政策不断出台,不少业内人士对于互联网金融都保持着谨慎看好的态度,但是安方丹却保持了乐观的态度,她认为,互联网金融行业在当前是“风口上的大象”,技术正是这股风的原动力。235kW) B.大型装载机(3m3)
C.大型铲运机( 15~30m3) D.中小型铲运机(&le15m3)
3.既能适用于粘性土路基施工又能适用于沥青混凝土路面施工的机械是( )。
A.静力光轮压路机 B.振动压路机
C.轮胎压路机 D.夯实机械
4.按我国目前标准要求,初等级公路沥青路面施工应运用( )设备。
A.延续强迫式搅拌 B.间歇强迫式搅拌
C.间歇滚筒式搅拌 D.延续滚筒式搅拌
5.绝对于轮胎式推土机,上面属于履带式推土机特点的是( )。
A.爬坡才能强 B.行驶速度高
C.作业循环工夫短 D.运输转移不损坏路面
6.桥梁灌注桩钻孔施工,最普遍使用于卵石、漂石地质条件下的施工机械是( )。
A.液压循环钻机 B.冲击钻机
C.旋挖钻机 D.潜水钻机
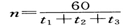
7.在间歇式设备消费率计算公式:

中,其中纪的含义是( ) 。
A.每拌制一份料的质量 B.工夫应用系数
C.每小时拌制的份数 D.设备功率
二、多项选择题
1.自行式摊铺机可分为履带式、轮胎式及复合式三种,上面属于轮胎式摊铺机特点的有( ) 。
A.行驶速度快 B.对空中较高的凹陷新生的改变世界的企业将会诞生,从而更好的服务整个人类世界,走向更高科技的智能化生活。点顺应才能差
C.弯道摊铺质量好 D.普遍使用于小型自行式摊铺机上
E.构造复杂,造价低
2.与轮胎式推土机比拟而言,履带式推土机的特点有( ) 。
A.运输转移不损坏路面 B.爬坡才能强
C.附着牵引力大 D.行驶速度高
E.机动性好
3.压实机械按压实作用的原理分为( ) 。
A.静作用碾压机械 B.振动碾压机械
C.平板机械 D.夯实机械
E.轮胎压路机械
【1B420170答案与解析】
一、单项选择题
1.D 2.D 3.A 4.B 5.A 6.B *7.C
【解析】
7.C:
式中 Gi——每拌制一份料的分量(kg)
n——每小时拌制的份数
KB——工夫应用系数,KB=0.8~0.90

t1,——搅拌器加料工夫(min)
t2——混合料搅拌工夫(min)
t3——成品料卸料工夫(min)。
二、多项选择题
1.A、C、E 2.B、C *3.A、B、D
【解析】
3.A、B、D:
#p#分页标题#e#压实机械按压实作用原理分为静作用碾压机械、振动碾压机械和夯实机械三品种型。静作用碾压机械包括各种型号的光轮压路机、轮胎压路机(简称轮胎碾)、羊脚压路机(简称羊脚碾)、凸块压路机(简称凸块碾)及各种拖式压滚等。振动式碾压机械(简称振动碾)包括各种拖式和自行振动式。夯实机械:次要用于夯实土壤,夯实机械又分为冲击夯实和振动夯实两类。

环球网校友谊提示:假如您在此进程中遇就任何疑问,请登录环球网校一级建造师频道及考试论坛,随时与广阔考生冤家们一同交流!
