
当碰到含有参数的分式方程的增根、无解问题时,同学们在解决该类题的时候要不就是漏解,要不就是无从下手,各种问题层出不穷,对基本的增根、无解概念不熟悉。基于此,特写本文用于解决同学们碰到的这类问题,读完本文后希望同学们在考试中能精准解题。
基本概念:
1、分式方程的增根是指:分式方程化成整式方程后,整式方程有解,但是该解使得分式方程的分母为0。
2、分式方程无解是指:分式方程化成整式方程后:
①整式方程无解;
②整式方程有解,但是该解刚好使得分式方程的分母为0,是增根,导致分式方程也无解。
【关于整式方程无解的问题,请各位同学记住一个例子:】
关于x的方程:ax = 1在何时无解?
答:当a=0时无解;当a≠0时,解为
以具体引例来看:
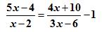
例一、解分式方程:

解:两边同乘以3(x-2),得
3(5x-4)=4x+10 - 3(x-2)
解之得 x = 2
分析:
x=2是原方程的解吗?
不是!当x=2时,恰好使原分式方程中的分母等于0,从而使分式方程无意义.这样的根就叫做原分式方程的增根.
那么,解分式方程产生增根的原因是什么呢?
增根的产生是在解分式方程的第一步“去分母”时造成的,这一步必须满足方程的两边都乘(或除以)的是同一个不为0的数.而当x=2时,相当于原分式方程的两边都乘的数是0,那么变形前后的方程就不是同解方程了.
因此,上面求得的根只能是原方程的增根.
由此可知,增根有两条重要性质:
1、增根是去分母后所得整式方程的根.
2、增根使最简公分母等于0.
由此,我们应该在解出分式方程后,作必不可少的一步工作,那就是检验,验根.
更多精彩内容请参考下图:



-
牛肉煮多久能熟
1、五分钟至半个小时。嫩牛肉的大小不同煮至时间也会不一样。嫩牛肉切片煮,需要煮三分钟至五分钟。2、嫩牛肉切成小块再煮,需要煮最少半个小时。嫩牛肉在煮之前可以清洗干净,切成片,添加食用盐、鸡蛋液、淀粉、…
-
卧室适合放什么摆件对身体好
1、生姜其实还有辟邪的功效,很多人可能只知道它是一种调料品,但是很少有人知道生姜还具有非常好的安神效果。取15克生姜切碎用一个小包包裹起来,放在床头,在生姜气味的帮助下,能让我们更好的入睡,睡好了精力…
